Despite punishing costs of around $40 a packet and the raft of scientific evidence proving cigarettes kill, 2.5 million Australians are daily smokers.
Now, an Australian National University study claims it has painted a picture of who the typical Australian smoker is, and the reality flies in the face of widespread perceptions that smokers are uneducated, unemployed and suffer poor mental health, it says.
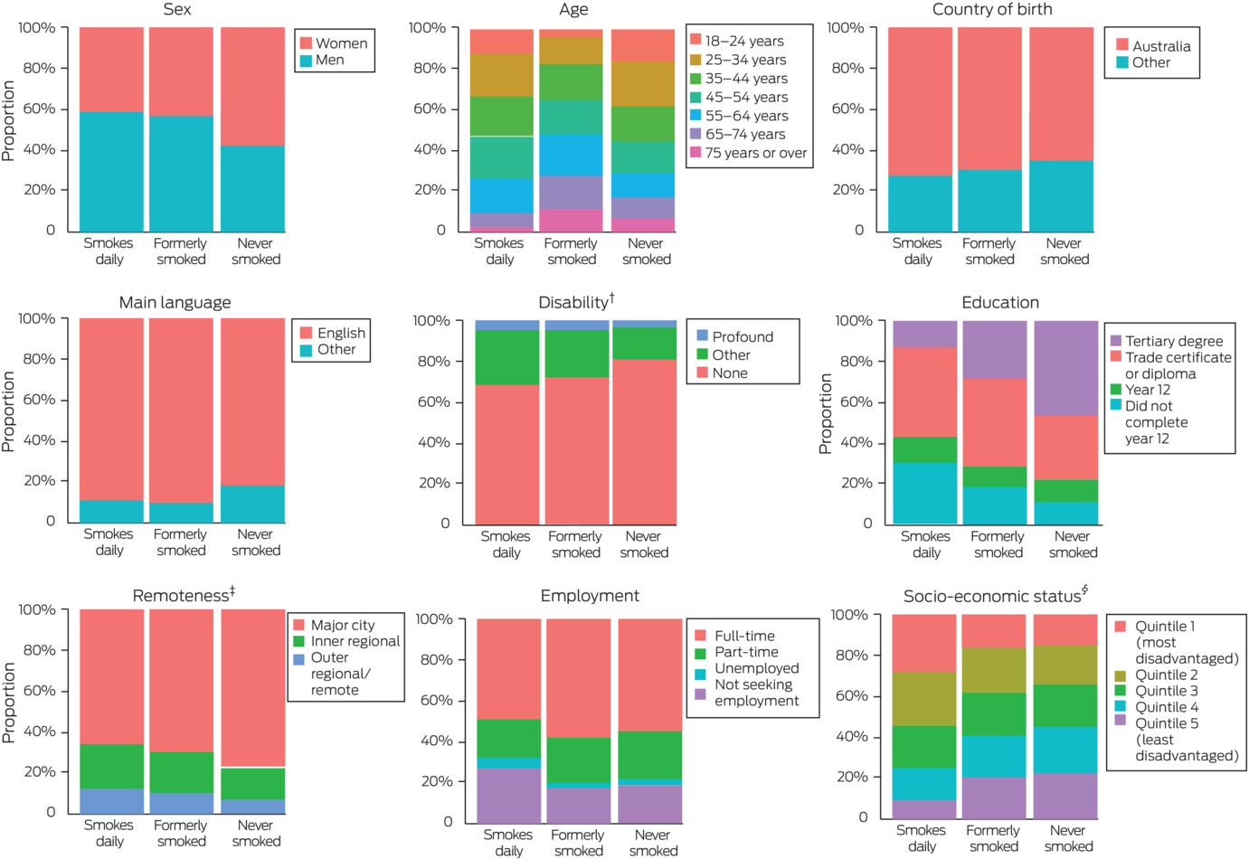
On the contrary, according to the study, most smokers are educated men who live in the city, are gainfully employed and have good mental health.
READ MORE: Famous museum under social media attack over 'stolen' statue
Lead author Jessica Aw called the study "a world-first, as previous studies have focused on comparing people who smoke with those who don't, but have never looked at the population of people who smoke really are".
The findings, published today in the Medical Journal of Australia, showed around 2.5 million people smoke daily in Australia.
Of that group, around 60 per cent of people who smoke are men, 65 per cent live in major cities and 92 per cent are non-Indigenous.
In addition, 69 per cent had completed year 12, 69 per cent of those of working age are in paid employment and 73 per cent had good mental health, the study said.
"Although smoking is more common in people who are experiencing structural disadvantage – like people in more remote areas, Indigenous peoples, those with less education and those living in poverty – most people who smoke are educated, employed and in good mental health, similar to the total population of Australia," Aw said.
The study analysed a sample of around 23,000 people, assessing various socio-demographic and health-related characteristics of people who smoke daily, are ex-smokers and those who have never smoked.
READ MORE: Did social media posts cause attack on a Perth house? Police think it's possible
Prior to the ANU study, no quantitative population profiles of people who smoke had been published in Australia or overseas, researchers said.
Studies that have compared the characteristics of people who do or do not smoke have found that men, middle-aged people, and people living in areas of lower socio-economic status or greater remoteness are more likely to smoke.
"The tobacco industry, responsible for the extensive use of its addictive products around the world, has a history of targeting specific population groups," the study said.
The paper detailed how an executive from tobacco giant R.J. Reynolds was asked in 1998 why he didn't smoke, and he responded: "We don't smoke the shit. We just sell it. We reserve the right to smoke for the young, the poor, the black, and the stupid."
The study said the attitude of that tobacco exec was "consistent" with the stereotype people who smoke are "from specific ethnic groups, uneducated, unemployed, or mentally ill, particularly where smoking is no longer normalised in the general population."
READ MORE: Man accused of causing $10,000 of damage 'key-ing' cars in Sydney
Tobacco smoking is the leading preventable cause of death and disease in Australia.
Known to be highly addictive and the cause of strokes, heart diseases and many types of cancer, it claims the lives of around 24,000 Australians every year.
Since the 1990s, sustained rises in federal taxes on cigarettes have led to Australian smokers paying some of the highest prices in the world to maintain their habit.
Newly imposed taxes in 2023 will increase tobacco prices by 5 per cent each year up to 2026, making a single 20s pack cost around $50 by 2026.
By 2030, experts expect a 30-pack of cigarettes to cost $100.


